Solution trouvée pour résoudre les problèmes de déconnexions ADSL

  • Initiateur de la discussion Initiateur de la discussion YANN-56
  • Date de début Date de début

Boostez vos compétences Excel avec notre communauté !

Rejoignez Excel Downloads, le rendez-vous des passionnés où l'entraide fait la force. Apprenez, échangez, progressez – et tout ça gratuitement ! 👉 Inscrivez-vous maintenant !

YANN-56

XLDnaute Barbatruc
Bonjour à tous, ou Bonsoir suivant l'heure,

Pour la petite histoire, j'ai eu 6 contact depuis le mois de février avec mon fournisseur d'accès
par suite de connexions aléatoires, voire impossibles.

A chaque fois ils on testé la ligne extérieure menant à chez moi et concluent à une quasi perfection.
Pourtant, ses poteaux ne dépareilleraient pas dans un film de la dernière guerre après bombardements.

Ils ont aussi (Soi-disant), déplacer un technicien qui, luiaussi, n'a rien constaté d'anormal.

Leur conclusion à toujours été que le problème venait de chez moi,
et m'ont toujours vivement proposé que ce dernier vienne me faire un devis.

Je l'ai toujours refusé car j'ai toujours pensé que l'on n'était jamais si bien servi que par soi-même!

La dernière fois, menaçant de changer d'opérateur, je leur ai demandé à ce que le "Technicien"
m'appelle lorsqu'il sera devant mon habitation afin que nous fassions des tests ensemble.

Résultat, en jouant de beaucoup de flatteries, comme de le complimenter sur sa belle moustache,
de lui parler de son boulot, et de lui offrir une cigarette,il m'a cracher le morceau!!!

Il m'a avoué constater, avec son détecteur, la présence d'un condensateur nuisible dans mon installation.
Le cuisinant un peu plus, il m'a expliqué avec un croquis ce qui suit………Je l'ai traduit en image.

Je joins aussi cette adresse, découverte par la suite, qui peut aider:
http://www.justneuf.com/wiki/index.php/Enlever_le_condensateur

A noter que cette action semble inutile, ayant préalablement débrancher les fils
dans la première boite de dérivation.

Résultat: Cela ne m'a pas coûté un radis, et voici trois jours que je n'ai pas eu de coupure.
Tous les voyants de ma LiveBox sont maintenant au vert! E tmoi aussi!!!
Je n'avais, auparavant, jamais connu plus de deux heures de ce confort!

Si cela peut servir à quelqu'un, et de ne pas se laisser rouler dans la farine par des profiteurs,

Amicalement,

Yves

P.S. Je pense particulièrement à la petite gonzesse qui n'a pas trop de sous,
et qui, étant seule, est une proie facile pour les charlatans.
(Idem pour les anciens et autres potentielles victimes)
 

Pièces jointes

  • CHEZ_MOI.jpg
    CHEZ_MOI.jpg
    38.4 KB · Affichages: 370
  • PRISES.jpg
    PRISES.jpg
    34.2 KB · Affichages: 246
Dernière édition:
Re : Solution trouvée pour résoudre les problèmes de déconnexions ADSL

Bonjour Yves, le fil,

Super que tu retrouves un peu de sérénité : nouveau pc, oubli de la facture, retour d'une connexion plus stable... je suis super contente pour toi et pour nous (tu seras plusss présent).

Ca me dit vraiment qqchse ton problème, je me demande si c'est pas notre ami Olivier HTP (ex xldien) qui avait eu un souci comme le tien et en plusss avec Orange aussi.

Et tu as bien raison d'en parler, ca peut servir.

Ravie que tu ailles mieux, et que le moral (c'est quand même incroyable mais vrai) soit aussi meilleur avec le retour d'internet dans ton home sweet home... On est vraiment trop addict, ca fait peur...

Soigne ta carte mère !

Bisous
 
Re : Solution trouvée pour résoudre les problèmes de déconnexions ADSL

Re,

Bingo, voici l'image d'Olivier :

REPARTITEUR.jpg

"un condensateur avant que je le vire" me dit il...
 
Re : Solution trouvée pour résoudre les problèmes de déconnexions ADSL

Bonsoir ma Brigitte préférée, tu es adorable comme toujours!

Pour moi,comme il en est certainement pour beaucoup:
Etre dans l'incapacité de se connecter est comme un mal de dents.
Ce n'est pas mortel; mais que cela fait du bien quand cela cesse!

S'il m'est retourné un Merci pour un problème ainsi résolu,
je serais particulièrement ravi que mon Fil ait servi à quelqu'un.

La gestion de l'addiction nous appartient.
Mais encore faut-il qu'elle vienne de nous, et non d'une Orange moisie!

Bises à toi,et au plaisir,

Yves
 
Dernière édition:
Re : Solution trouvée pour résoudre les problèmes de déconnexions ADSL

Mais... je me suis fait disputer par Olivier... qui m'a dit :

"Tu ne lui avais pas dit de regarder s'il y en avait ?"

Ah la la... c'est vrai que c'est bien inutile, sauf à te confirmer que tu n'es pas le seul à avoir eu le souci, bien inutile de te le dire une fois que tu as trouvé... Je suis désouuuuulée..
Bisous (fournée supplémentaire pour la peine).
 
Re : Solution trouvée pour résoudre les problèmes de déconnexions ADSL

Bonsoir CC, et à ceux qui passeront par là,

Il ne faut pas confondre "Condensateurs" et"Couscoussiers"! …N'est-il pas?
(Et encore moins avec des Cocottes-minute ou autres machines à condensation)

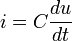
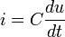
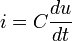
Farad n'est pas une ville de l'Afrique du Nord, mais issu de cette formule liée aux Condos:
(Qui ne sont pas, non plus des musiciens du Pérou)
Image1.jpg
i est l'intensité du courant qui traverse le composant,exprimée en ampères (symbole : A) ;
u est la tension aux bornes du composant, exprimée en volts (symbole : V) ;
C est la capacité électrique du condensateur, exprimée en farads (symbole : F) ;
est la dérivée de la tension par rapport au temps.

Les signes sont tels que l'électrode par laquelle entre le courant
(dans le sens conventionnel de celui-ci) voit son potentiel augmenter.

Il est vrai que sur XLD, on a fait un peu de"Résistance",
mais le courant passera toujours entre nous. Même sans Images.🙂

A mon age, il est important de rester "Branché".
Brigitte et toi m'y aidez beaucoup ces temps-ci… Merci àvous.

Amicalement,

Yves

P.S. Pardon Fred de ne t'avoir pas salué... Je n'avais pas vu ton Message.
 

Pièces jointes

  • Image1.jpg
    Image1.jpg
    1.7 KB · Affichages: 335
  • Image1.jpg
    Image1.jpg
    1.7 KB · Affichages: 344
Dernière édition:
Re : Solution trouvée pour résoudre les problèmes de déconnexions ADSL

Hello

Perso j'avais les mêmes soucis dans mon ancien chez moi.

Mais à la grosse différence de toi Yves, c'est qu'après avoir fait des tests en direct live sur ma box avec les gens de la hotline sur mon portable, et vu que cela ne changeait rien, le technicien est venu chez moi, a détecté le même problème que toi d'un condensateur sur ma ligne et donc l'a résolu, a fait des tests (en plus très sympa le technicien), mais tout cela gratuitement. Comme quoi en fonction du FAI cela change beaucoup.

Bonne journée
 
Re : Solution trouvée pour résoudre les problèmes de déconnexions ADSL

Bonjour,

Petite info pour toi Yves : Pierre à qui j'ai parlé de ton problème me confirme qu'il est connu, que "ses" techniciens eux aussi le réparent sans souci, mais qu'il faut, à la suite de cela, changer aussi des câbles car tout le système est "vérolé"...

Et il m'a confirmé qu'il l'avait enlevé aussi chez nous... je crois suite aux déboires de notre ami Olivier...

Bisous
 
Re : Solution trouvée pour résoudre les problèmes de déconnexions ADSL

Bonjour Pascal, Brigitte, et à ceux qui passeront par ici,

Pascal:

Merci pour ton témoignage qui conforte le bien fondé de transmettre cette information.

Ce que je trouve regrettable est que j'ai eu une foultitudede contacts avec les services techniques de mon F.A.I.,
et que jamais il m'a été suggéré cette modification simplissime de ma ligne interne.

Pourtant, elle est à la portée d'un gamin de dix ans! Au pire, ils auraient pu me dire de le faire faire!!!

Les standardistes décentralisés de leurs S.A.V. n'ont peut-être pas les compétences requises… O.K.,
mais les autres techniciens avaient certainement en main cet appareil de mesure détectant la présence
de ce fameux condensateur néfaste………….Alors pourquoi ce silence?

Comment ne pas soupçonner des intentions mercantiles?

Quand j'ai demandé au dernier que j'ai cuisiné, s'il était certain de ce qu'il disait;
il m'a montré son écran où effectivement cette mention était clairement écrite!!!
(Tout ceci à 10 mètres de mon habitation)

Ce problème est certainement connu par nombre de leurs abonnés,
alors pourquoi ne pas le divulguer???

C'est donc pour cette raison que je le fais à leur place.

Brigitte:
Tu remercieras Pierre pour son conseil avisé, et lui transmettras mes amitiés.

Je ne l'ai pas encore fait, mais mon projet est d'établir un branchement direct de ma LiveBox
sur la boite de dérivation, en passant ainsi outre le câblage dont l'âge ne laisse entendre rien de bon.
Etant locataire, je dois respecter certaines limites, et ne pas trop toucher à ce qui ne m'appartient pas.

Il me restera à résoudre le petit souci d'avoir mon téléphone fixe branché dans l'arrière cuisine.
Pas très pratique, mais pas grave!

Amicalement, et au plaisir sur autres sujets plus positifs.

Yves
 
Dernière édition:
Re : Solution trouvée pour résoudre les problèmes de déconnexions ADSL

Bonjour, ou Bonsoir suivant l'heure à ceux qui passeront parlà,

Voici 296 affichages de cette discussion.

Je me réjouis de voir que dans le nombre de ces visiteurs,
personne n'avait ce problème, ni besoin de sortir un tournevis!

Ils n'ont donc regardé le sujet que par curiosité, bien que non concernés!

Je me sens donc un peu ridicule d'avoir eu la prétention d'aider quelqu'un,
et en retiens définitivement la leçon …

Il en va pour ici; comme il en est de plus en plus ailleurs.

Amicalement, avec un salut sympa aux amis qui ont participé.

Yves
 
Re : Solution trouvée pour résoudre les problèmes de déconnexions ADSL

Bonsoir, Yann 🙂

Pour ma part, je lis plus de posts que je n'ai de problème (Et heureusement ...).
Et je pense qu'il en est de même pour la majorité des habitués.
Tu as tort de te sentir "un peu ridicule".
Nul doute que si des problèmes de déconnexion se présentent, et si celui à qui cela arrive sait effectuer une recherche, il ne trouvera pas ton intervention "un peu ridicule".
😉
 
Re : Solution trouvée pour résoudre les problèmes de déconnexions ADSL

Bonsoir,

Je m'insurge Yves devant ton impression de te sentir ridicule... Aider les autres n'est jamais ridicule, même si ils n'ont pas besoin d'aide... Tout au plus, ton aide est dépassée (si ils ont eu le pb y a longtemps), prématurée (si cela va arriver), ou inutile sur le moment... mais il en va ici sur ce fil, comme sur certains posts xld, combien viennent dire "ce que tu m'as dit m'a drôlement aidé, merci" ?

L'essentiel est de savoir que cela aide... et c'est sûr que oui, cela a aidé, aidera .... après le nombre, on s'en fiche un peu, non ? Ton post serait il utile à une seule personne, ce serait déjà assez... mais crois moi, ce sera sûrement davantage.

De toute manière l'essentiel est aussi d'avoir eu la gentillesse de nous avoir fait partager ta solution après nous avoir parlé de tes problèmes, c'est bien comme cela que l'on avance pour les pbs divers comme pour excel : venir dire comment on s'en est sorti... c'est cela que l'on réclame tout le temps... donc merci à toi...

Bisous

Brigitte (bien contente comme tu le sais, que tout aille mieux pour toi aujourd'hui que ce soit avec ta nouvelle bête de course, comme avec ta connexion). Bisous Patrick au passage et à tous les autres.

PS : justement près de 300 affichages en disent long... et tu imagines le chapelet de gens qui viendraient tous dire "merci Yves de nous avoir raconté ta solution"... leur visionnage est déjà un merci.
 
Dernière édition:
Re : Solution trouvée pour résoudre les problèmes de déconnexions ADSL

Bonsoir tout le monde,

Super ton blog, jp... une idée : y mettre la solution du problème d'Yves (si bien sûr vous en êtes d'accord tous les deux) car même s'il ne s'agit pas d'une réparation pc, peut être qu'il arrive que certains devant ce type de pb de connexion, en attribuent la faute à leur pc et le démontent, le reconfigurent, tout ca pour rien !

Bisous et merci à toi pour ta "désormais" légendaire réactivité. On demande, tu fais... la classe quoi !
 
Re : Solution trouvée pour résoudre les problèmes de déconnexions ADSL

Bonsoir à tous.

il est vrai qu'un petit merci ne tue pas , donc , bien que non concerné par ce problème, merci Yves pour cette astuce 🙂

+1, et merci également à toi, CC pour la bonne idée que tu as eue de créer ton blog 🙂

Et, tant qu'à faire, et pour ne pas faire exploser les compteurs, merci une fois pour toutes à tous les questionneurs qui nous obligent à maintenir éveillé notre neurone, merci aux répondeurs qui nous enrichissent de leurs connaissances, merci aux concepteurs de ce forum qui me permettent de rentabiliser ma connection, et merci Bilou, sans qui ...😛
 
- Navigue sans publicité
- Accède à Cléa, notre assistante IA experte Excel... et pas que...
- Profite de fonctionnalités exclusives
Ton soutien permet à Excel Downloads de rester 100% gratuit et de continuer à rassembler les passionnés d'Excel.
Je deviens Supporter XLD
Retour